Usage:

streme [options] --p <primary sequences>

Description

Input

<primary sequences>

The name of a file containing the primary (positive) sequences in FASTA format. The file must contain at least two valid sequences or STREME will reject it. Note that the command-line version of STREME does not attempt to detect the alphabet from the primary sequences, so you should specify it with the --dna, --rna, --protein or --alph options.

Output

STREME writes its output to files in a directory named streme_out, which it creates if necessary. You can change the output directory using the --o or --oc options. The directory will contain:

STREME gives each motif it discovers a name, which is a consensus sequence that approximately describes the motif, prefixed by a number from 1 to the number of motifs found, e.g., "1-CCACYAGT". Motif names are intended to be mnemonic only, and are not intended to be used for searching sequences for matches; to search for matches to STREME motifs, use a STREME output file as input to a motif scanning program such as FIMO and MAST.

Note: All options may be preceded by a single dash (-) instead of a double dash (--) if desired.

Options

Option Parameter Description Default Behavior
Output
--text Just output the motifs discovered by STREME in MEME text format to standard output. No output directory is created. The program behaves as if --oc streme_out had been specified.
Objective Function
--objfun de|​ cd This option is used to select the objective function that STREME optimizes in searching for motifs.
ValueNameDescription
deDifferential Enrichment This objective function scores motifs based on the enrichment of their sites in the primary sequences compared with the control sequences. STREME estimates motif enrichment using Fisher's exact test if the primary and control sequences have the same average length (within 0.01%), otherwise it uses the Binomial test.
cdCentral Distance This objective function scores motifs based on their tendency to occur near the center of the primary sequences, which must all be of the same length. No set of control sequences is allowed, and the primary sequences should include adequate flanking region around the expected motif sites—e.g., use sequences of 500bp for ChIP-seq. STREME estimates the tendency of a motif to occur near the centers of primary sequences using the cumulative Bates distribution applied to the mean distance of the best site from the sequence center.
STREME uses the Differential Enrichment (de) function.
Primary Sequences
Control Sequences, Background Model and Hold-out Set
--n control sequences The name of a file containing control (negative) sequences in FASTA format. The control sequences must be in the same sequence alphabet as the primary sequences. If the average length of the control sequences is longer than that of the primary sequences, STREME trims the control sequences so that both sets have the same average length (unless you also specify option --notrim). If you do not provide control sequences, STREME creates them by shuffling a copy of each primary sequence, using a m-order shuffle (see next option). Shuffling also preserves the positions of non-core (e.g., ambiguous) characters in each sequence to avoid artifacts.
--notrim Do not trim the control sequences even if their average length exceeds that of the primary sequences. The control sequences will be trimmed if their average length exceeds that of the primary sequences. This may enable STREME to use the (more accurate) Fisher test rather than the Binomial test.
--order m If you do not provide control sequences, STREME will do an an m-order shuffle of each primary sequence to to create control sequences. This preserves the frequencies of words of length m+1 in each shuffled sequence. Unless you specify a background model file (see --bfile, below), STREME will also estimate an m-order Markov background model from the control sequences (or the primary sequences if you do not provide control sequences). STREME uses the fasta-get-markov program with a total pseudocount of 1 to create the Markov model. m must be in the range [0,..,5]. STREME uses m=2 (DNA and RNA), and m=0 (Protein and Custom alphabets).
--bfile file Specify the source of a background model in Markov Background Model Format. STREME uses the m-order portion of the background model for log-likelihood scoring of motif sites, where m is as described for the --order option, above. STREME estimates an m-order background model from the control sequences, or from the primary sequences if you do not provide control sequences.
--kmer k Deprecated: Use --order instead. Preserve the frequencies of words (k-mers) of this size when shuffling primary sequences to create control sequences. The value of k must be in the range [1,..,6]. STREME also estimates a background model of order k-1 from the primary sequences for use in log-likelihood scoring of motif sites. STREME preserves the frequencies of words of length 3 (DNA and RNA), and 1 (Protein and Custom alphabets), and constructs background models of order 2 (DNA and RNA), and order 0 (Protein and Custom).
--hofract hofract The fraction of the primary and control sequences that STREME will randomly select and hold out for accurately estimating the significance of motifs.
Note: If the hold-out set would contain fewer than 5 sequences, STREME does not create it, and the motif p-values will be inaccurate.
Note: The letter frequencies in the final motifs reported by STREME are based on all primary sequences, including those in the hold-out set.
STREME reserves 0.1 (10%) of the primary and control sequences for estimating the significance of motifs.
--totallength len Restrict the maximum total length of the sequences used by STREME from the sequence file(s) to a total of at most len. The input sequences are first sorted alphabetically by sequence content, and then their order is randomized. (Potential) sequences are then assigned to the primary and hold-out sets. Then sequences are added in to the primary set in a the random order, skipping any potential sequence that would cause the total length of the primary set to exceed len times (1 - hofract). This is repeated for the hold-out set, not adding a sequence if the total length of the hold-out set would exceed len times hofract. The total length of the input sequences is not limited.
--seed seed Random seed for shuffling and sampling the hold-out set sequences (see above). STREME uses a random seed of 0.
Alphabet
Number of Motifs
--threshthresh STREME will stop searching for motifs when too many consecutive motifs have p-values greater than thresh (or E-values greater than thresh if you specify option --evalue, below). For the definition of "too many", see option --patience, below. 0.05
--evalue Stop searching for motifs based on their E-values. Stop searching for motifs based on their p-values.
--patiencepatience Stop searching for motifs when patience consecutive non-significant motifs have been found. (Can be overridden by the --nmotifs or --time options; see below.) 3
--nmotifsnmotifs STREME will stop searching for motifs after finding nmotifs motifs. STREME stops when too many consecutive, non-significant motifs have been found.
--timesecs STREME will stop searching for motifs if it has found at least one motif and it estimates that finding any more will cause the total running time to exceed secs seconds. STREME stops when too many consecutive, non-significant motifs have been found.
Motif Width
--minwminw Search for motifs with a width ≥ minw. Searches for motifs with a minimum width of 8.
--maxwmaxw Search for motifs with a width ≤ maxw. Searches for motifs with a maximum width of 15.
--ww Search for motifs with a width of w. Overrides --minw and --maxw. See --minw and --maxw, above.
Seed Evaluation and Refinement
--nevalneval The number of seed words of each width from 3 to maxw to evaluate for enrichment of approximate matches. 25
--nrefnref The number of seed words of each width from minw to maxw to convert to motifs and optimize using an iterative refinement algorithm. 4
--niterniter The iterative refinement algorithm is run for niter iterations, or until convergence, which ever comes first. 20
Misc
--align left | center | right For the site positional distribution diagrams, align the sequences on their left ends (left), on their centers (center), or on their right ends (right). For visualizing motif distributions, center alignment is ideal for ChIP-seq and similar data; right alignment for sequences upstream of transcription start sites; left alignment for many proteins or 3' UTR sequences. Align the sequences on their centers.
--verbosity1|2|3|4|5 A number that regulates the verbosity level of the output information messages. If set to 1 (quiet) then STREME will only output warning and error messages, whereas the other extreme 5 (dump) outputs lots of information intended for debugging. The verbosity level is set to 2 (normal).

STREME algorithm overview

STREME searches for motifs by iterating the following five steps to until the selected stopping criterion is met. The stopping criteria are described in the "Number of Motifs" section, above.

  1. Suffix Tree Creation.

    STREME builds a generalized suffix tree that includes both the primary and control sequences (but not the hold-out set sequences). If the alphabet is complementable, STREME adds the reverse complement of each primary and control sequence to the tree as well. For the first round of STREME, the input sequences are used to build the tree. For subsequent rounds, the sequences from the last step (Step 5, below), with previous motifs erased, are used.

  2. Seed Word Evaluation.

    For each word of length 3 to the maximum motif width in the primary sequences, STREME uses the tree to efficiently count the numbers of exact matches to the word in the primary and control sequences, and computes its enrichment p-value using the chosen objective function. For each of the neval (default=25) most signficant words of each width, STREME then uses the tree to count the number of approximate matches to it, and computes its enrichment p-value. (Note: With the Differential Enrichment objective function, STREME will use the Binomial test instead of Fisher's exact test if the primary and control sequences have different average lengths. With the Central Distance objective function, STREME computes the cumulative Bates distribution of the average distances of the seed word from the centers of the sequences.)

  3. Motif Refinement.

    For each word of length 3 to the maximum motif width in the primary sequences, STREME uses the tree to efficiently count the numbers of exact matches to the word in the primary and control sequences, and computes its enrichment p-value using the chosen objective function. For each of the neval (default=25) most signficant words of each width, STREME then uses the tree to count the number of approximate matches to it, and computes its enrichment p-value.

    STREME converts each of the nref (default=4) most significant seed words into a motif, and iteratively refines each motif, selecting the motif that best discriminates the primary sequences from the control sequences. At each iteration of refinement, the current motif and the (k-1)-order background are used with the suffix tree to efficiently find the best site in each sequence. The primary and control sequences are then sorted by the log-likelihood score of their best site, and the score threshold that optimizes the p-value of the statistical test (which depends on the chosen objective function) is found. The iteration ends by estimating a new version of the motif from the single best site in each primary sequence whose score is above the optimal threshold. This new motif is used in the next refinement iteration. Refinement stops when the p-value fails to improve, or when niter (default=20) iterations have been performed.

  4. Motif Significance Computation.

    STREME computes the statistical significance of the of the motif by using the motif and the optimal discriminative score threshold (based on the primary and control sequences) to classify the hold-out set sequences, and then applying the statistical test (Fisher's exact test, Binomial test, or the cumulative Bates distribution) to the classification. Classification is based on the best match to the motif in each sequence (on either strand when the alphabet is complementable). If the primary or control hold-out set would contain fewer than 5 sequences, STREME does not create a hold-out set, and the value of the statistical test will not be an accurate measure of the statistical significance of the motif. In that case STREME will label the test output as a 'score' rather than as a p-value. If there is a hold-out set, STREME also reports an E-value that accounts for the number of motifs tested by STREME. The E-value is the p-value multiplied by the number of motifs reported by STREME, and is an estimate of how many equally enriched (or better) motifs would be found in shuffled versions of the primary sequences.

  5. Motif Erasing.

    STREME "erases" each of the sites of the best motif from both the primary and control sequences by converting the sites to the separator character. Only the positions in the site where the letter has a positive likelihood ratio are erased to allow some overlap of sites of different motifs.

STREME Running time and memory usage

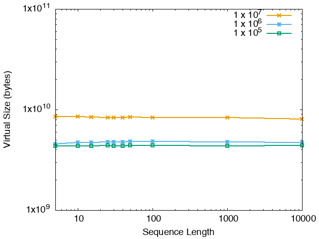
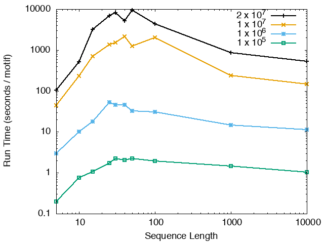
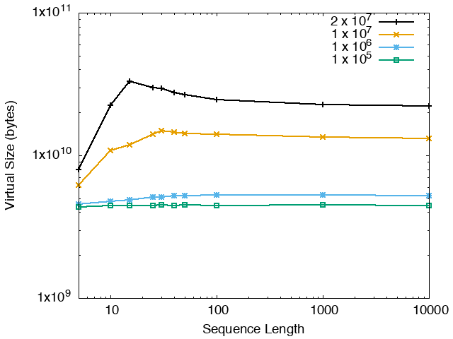
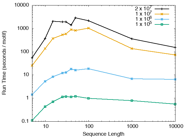
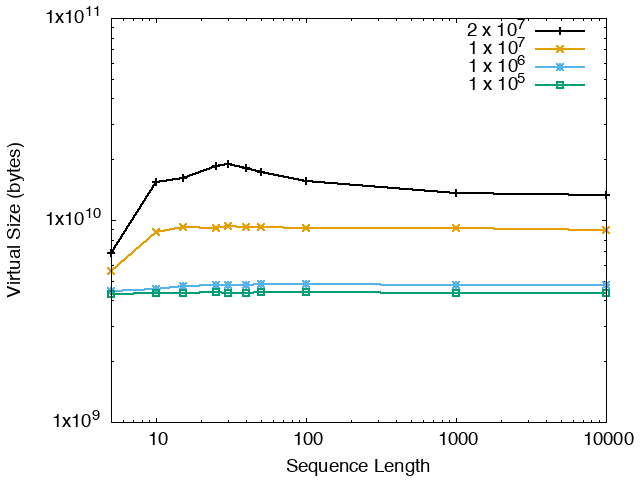
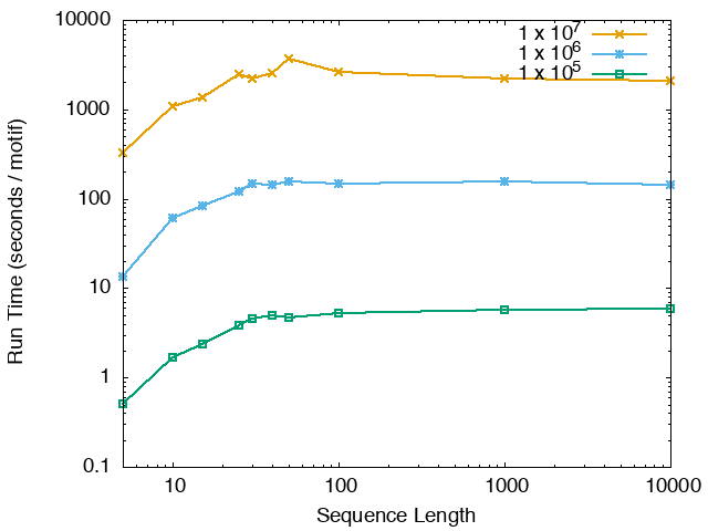
The running time and memory usage of STREME depends on the total size of the sequences in its input, the length of the sequences, the alphabet of the sequences and the minimum and maximum motif widths. The following tables show the running times and memory usage for STREME on on different size datasets (of random sequences), as a function of the length of the sequences, on a 3.2 GHz Intel Core i7 processor with 16GB of memory. STREME was run using a single thread, and the motif width was the maximum allowed range: minimum = 5, maximum = 30. The total sizes of the sequences in the datasets from 100,000 (1 x 105) to 20,000,000 (2 x 107).

With very short sequences (length = 5), STREME is extremely fast, processing 4,000,000 DNA sequences in less than 100 seconds. The running time increases with sequence length, reaching a maximum for sequences around 30 long. With very long sequences, STREME is runs more quickly, with length 10,000 sequences taking approximately the same time per motif discovered as length 10 sequences. STREME runs about twice as slow on DNA sequences as on RNA sequences because STREME treats DNA sequences as double-stranded and RNA sequences as single-stranded. Because of the larger alphabet size, STREME runs about 5 times more slowly on protein sequences than on RNA sequences, which is the same factor as the ratio of the alphabet sizes (20/4). The running time of STREME with sequences over a custom alphabet will similarly be (roughly) proportional to the number of letters in the custom alphabet.

STREME Running Time (seconds / motif)
DNA RNA Protein
STREME Virtual Memory Size (bytes)
DNA RNA Protein

Citing