Purpose of the notebook is to generate reports via saved images

In [1]:
import os
import sys
sys.path.append("/oak/stanford/groups/akundaje/manyu/C2H2_ZNF_project/utils/modisco_utils")
sys.path.append(os.path.abspath("/oak/stanford/groups/akundaje/manyu/softwares/tfmodisco_tf_models/src/"))
sys.path.append(os.path.abspath("/oak/stanford/groups/akundaje/manyu/softwares/tfmodisco_tf_models/notebooks/reports/"))
from tfmodisco.run_tfmodisco import import_shap_scores, import_tfmodisco_results
from motif.read_motifs import pfm_info_content, trim_motif_by_ic
import motif.moods as moods
import plot.viz_sequence as viz_sequence
from util import figure_to_vdom_image, import_peak_table
import h5py
import pandas as pd
import numpy as np
import modisco
import sklearn.decomposition
import umap
import matplotlib.pyplot as plt
import matplotlib.font_manager as font_manager
import vdom.helpers as vdomh
from IPython.display import display
import tqdm
import io
import base64
import urllib
import deepdish as dd
import shutil
from vdom.helpers import h1, p, img, div, b

Main class to generate reports in HTML form using the saved images and h5 files

In [2]:
from shutil import copyfile
def get_read_handle(h5_file):
    '''Copy to temp with a hashed name and give the read handle'''
    name = h5_file.split('/')[-1]
    #copy_file = '/users/manyu/temp/{}_{}'.format(str(hash(h5_file)),name)
    copy_file = '/srv/www/kundaje/manyu/tmp/{}_{}'.format(str(hash(h5_file)),name)
    
    if os.path.exists(copy_file):
        os.remove(copy_file)
    copyfile(h5_file,copy_file)
    f = h5py.File(copy_file,'r')
    return(f)


def close_h5file_read_handle(h5_file,read_handle):
    '''Removes the copied h5 file in temp and the read handle to avoid bloating'''
    read_handle.close()
    name = h5_file.split('/')[-1]
    #copy_file = '/users/manyu/temp/{}_{}'.format(str(hash(h5_file)),name)
    copy_file = '/srv/www/kundaje/manyu/tmp/{}_{}'.format(str(hash(h5_file)),name)
    if os.path.exists(copy_file):
        os.remove(copy_file)
    
    
    
  

    

class ReportGenerator():
    def __init__(self,tf,dataset):
        self.dataset = dataset
        self.tf = tf
        # Path to saved modisco results on /oak. Images and h5 files
        self.reports_base = '/oak/stanford/groups/akundaje/manyu/C2H2_ZNF_project/train_profile_models_2020/modisco_reports'
        self.results_dir = '{}/{}/{}'.format(self.reports_base,dataset,tf)
        
        ## Paths to the saved modisco report results to copy/copied on Mitra: Images and h5 files
        self.modisco_reports_results_mitra = '/srv/www/kundaje/manyu/C2H2_ZNF_project/modisco_report_saved_information'
        self.mitra_results_dataset_dir = '{}/{}'.format(self.modisco_reports_results_mitra,self.dataset)
        if not os.path.exists(self.mitra_results_dataset_dir):
            os.makedirs(self.mitra_results_dataset_dir)
        self.save_results_mitra_dir  = '{}/{}'.format(self.mitra_results_dataset_dir,self.tf)
        
        self.main_patterns_dir = '{}/main_patterns'.format(self.save_results_mitra_dir)
        self.main_patterns = '{}/all_motifs.h5'.format(self.main_patterns_dir)
        
        self.subpatterns_dir  = '{}/sub_patterns'.format(self.save_results_mitra_dir)
        self.subpatterns = '{}/all_motif_subclusters.h5'.format(self.subpatterns_dir)
        
        
        ## Paths to the modisco reports html on lab cluster
        self.modisco_reports_base = '/srv/www/kundaje/manyu/C2H2_ZNF_project/modisco_reports'
        self.modisco_reports_dataset_base = '{}/{}'.format(self.modisco_reports_base,self.dataset)
        if not os.path.exists(self.modisco_reports_dataset_base):
            os.makedirs(self.modisco_reports_dataset_base)
        self.modisco_report_filename = '{}/{}.html'.format(self.modisco_reports_dataset_base,self.tf)
        
        ## Path to webpages and weblinks to images(needs weblinks to load; not local links)
        self.mitra_web_base = 'http://mitra.stanford.edu/kundaje/manyu/C2H2_ZNF_project/'
        self.mitra_web_results_base = '{}/modisco_report_saved_information/{}/{}'.format(self.mitra_web_base,self.dataset,self.tf)
        self.mitra_web_results_main_patterns = '{}/main_patterns'.format(self.mitra_web_results_base)
        self.mitra_web_results_sub_patterns = '{}/sub_patterns'.format(self.mitra_web_results_base)
        self.mitra_web_results_profiles = '{}/profiles_dir'.format(self.mitra_web_results_base)
        self.mitra_web_results_b1h_aln = '{}/b1h_aligments'.format(self.mitra_web_results_base)
        
        ##Do we need this here?
        #self.mitra_web_reports_base = '{}/modisco_reports'.format(self.mitra_web_base)
        
        
    
    def copy_to_mitra(self):
        assert(os.path.exists(self.results_dir))
        if os.path.exists(self.save_results_mitra_dir):
            shutil.rmtree(self.save_results_mitra_dir)
        shutil.copytree(self.results_dir,self.save_results_mitra_dir)
        print('Finished copying files to Mitra')
        permissions_cmd = 'chmod -R 777 {}'.format(self.save_results_mitra_dir)
        os.system(permissions_cmd)
        
        
        
    def show_subcluster_table(self):
      
        assert(os.path.exists(self.main_patterns))
        
        ## Opening a read handle for h5. Remmeber to close it also
        try:
            patterns_read_handle = get_read_handle(self.main_patterns)
        except Exception as e:
            print(e)
        
        try:
            sub_patterns_read_handle = get_read_handle(self.subpatterns)
        except Exception as e:
            print(e)

        num_patterns  = len(patterns_read_handle.keys())

     
        
        for pattern_i in range(num_patterns):
            
            display(vdomh.h3("Pattern {}/{}".format(str(pattern_i + 1), num_patterns)))
        
            

            # Sort this out:
            colgroup = vdomh.colgroup(
                vdomh.col(style={"width": "5%"}),
                vdomh.col(style={"width": "5%"}),
                vdomh.col(style={"width": "50%"}),
                vdomh.col(style={"width": "40%"})
            )
            header = vdomh.thead(
                vdomh.tr(
                    vdomh.th("Subpattern", style={"text-align": "center"}),
                    vdomh.th("Seqlets", style={"text-align": "center"}),
                    vdomh.th("Embeddings", style={"text-align": "center"}),
                    vdomh.th("CWM", style={"text-align": "center"}),
                    vdomh.th("PFM", style={"text-align": "center"})
                )
            )
            
            
            ## Fill in the paths and seqlets of the main pattern
            total_seqlets = patterns_read_handle[str(pattern_i)]['n_seqlets'].value
            emb_agg_path = '{}/{}_subcluster_agg.png'.format(self.mitra_web_results_sub_patterns,str(pattern_i))
            pwm_path = '{}/{}_pfm_full.png'.format(self.mitra_web_results_main_patterns,str(pattern_i))
            cwm_path = '{}/{}_cwm_full.png'.format(self.mitra_web_results_main_patterns,str(pattern_i))
            
            
            table_rows = [vdomh.tr(
                vdomh.td("Agg."),
                vdomh.td(str(total_seqlets)),
                vdomh.td(img(src=emb_agg_path)),
                vdomh.td(img(src=cwm_path)),
                vdomh.td(img(src=pwm_path))
            )]

            
            total_sub_pats = len(sub_patterns_read_handle[str(pattern_i)].keys())
            for subpat_i in range(total_sub_pats):
                emb_path = '{}/{}_subcluster_{}.png'.format(self.mitra_web_results_sub_patterns,str(pattern_i),str(subpat_i))
            
                total_seqlets = sub_patterns_read_handle[str(pattern_i)]['subcluster_{}'.format(str(subpat_i))]['n_seqlets'].value
                pwm_path = '{}/{}_subcluster_{}_pfm_trimmed.png'.format(self.mitra_web_results_sub_patterns,str(pattern_i),str(subpat_i))
                cwm_path = '{}/{}_subcluster_{}_cwm_trimmed.png'.format(self.mitra_web_results_sub_patterns,str(pattern_i),str(subpat_i))
                table_rows.append(vdomh.tr(
                vdomh.td('{}'.format(str(subpat_i))),
                vdomh.td(str(total_seqlets)),
                vdomh.td(img(src=emb_path)),
                vdomh.td(img(src=cwm_path)),
                vdomh.td(img(src=pwm_path))
            ))
            table = vdomh.table(header,vdomh.tbody(*table_rows))
            
            display(table)
            
        #Remove unnecessary temp files
        close_h5file_read_handle(self.main_patterns,patterns_read_handle)
        close_h5file_read_handle(self.subpatterns,sub_patterns_read_handle)
    
    
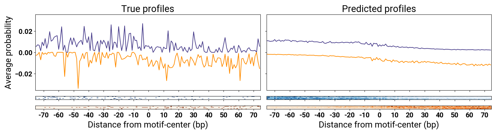
    def show_footprints_and_peak_dist(self):
        try:
            patterns_read_handle = get_read_handle(self.main_patterns)
        except Exception as e:
            print(e)
        
        num_patterns  = len(patterns_read_handle.keys())
        for pattern_i in range(num_patterns):
            
            display(vdomh.h3("Pattern {}/{} Footprint".format(str(pattern_i + 1), num_patterns)))
            footprint_plot = '{}/profiles_pattern_{}.png'.format(self.mitra_web_results_profiles,str(pattern_i))
            motif_distplot  = '{}/motif_distances_pattern_{}.png'.format(self.mitra_web_results_profiles,str(pattern_i))
            display(img(src=footprint_plot))
            display(vdomh.h3("Pattern {}/{} Motif Distance Distribution".format(str(pattern_i + 1), num_patterns)))
            display(img(src=motif_distplot))
    
    
    def show_b1h_alignments(self):
        try:
            patterns_read_handle = get_read_handle(self.main_patterns)
        except Exception as e:
            print(e)
        


        num_patterns  = len(patterns_read_handle.keys())
        header = vdomh.thead(
            vdomh.tr(
                vdomh.th("Pattern", style={"text-align": "center"}),
                vdomh.th("N-Seqlets", style={"text-align": "center"}),
                vdomh.th("Alignment", style={"text-align": "center"})

            )
        )

         
        display(vdomh.h2("B1H alignments of all patterns"))
        table_rows = []
        for pattern_i in range(num_patterns):
            
            
        
            total_seqlets = patterns_read_handle[str(pattern_i)]['n_seqlets'].value
            alignment_img = '{}/pattern_{}_aligned.png'.format(self.mitra_web_results_b1h_aln,str(pattern_i))
            

            table_rows.append(vdomh.tr(
            vdomh.td('{}'.format(str(pattern_i+1))),
            vdomh.td('{}'.format(str(total_seqlets))),
            vdomh.td(img(src=alignment_img)),

            ))
        close_h5file_read_handle(self.main_patterns,patterns_read_handle)
        table = vdomh.table(header,vdomh.tbody(*table_rows))
        display(table)
In [3]:
# Define parameters/fetch arguments
dataset = os.environ["DATASET"]
tf = os.environ["TF"]
In [4]:
# tf = 'ENCSR464KFG'
# dataset = 'ENCODE'
In [5]:
a = ReportGenerator(tf=tf,dataset=dataset)
In [6]:
# a.copy_to_mitra()
In [7]:
a.show_subcluster_table()

Pattern 1/16

/users/manyu/.local/lib/python3.6/site-packages/ipykernel_launcher.py:127: H5pyDeprecationWarning: dataset.value has been deprecated. Use dataset[()] instead.
/users/manyu/.local/lib/python3.6/site-packages/ipykernel_launcher.py:146: H5pyDeprecationWarning: dataset.value has been deprecated. Use dataset[()] instead.
SubpatternSeqletsEmbeddingsCWMPFM
Agg.2775
0680
1195
2190
3172
4165
5144
6127
7116
8116
9105
1082
1181
1280
1378
1472
1569
1660
1760
1859
1958
2045
2121

Pattern 2/16

SubpatternSeqletsEmbeddingsCWMPFM
Agg.609
0167
1133
276
354
451
537
630
729
819
913

Pattern 3/16

SubpatternSeqletsEmbeddingsCWMPFM
Agg.426
0104
181
246
342
439
531
631
728
815
99

Pattern 4/16

SubpatternSeqletsEmbeddingsCWMPFM
Agg.312
085
175
235
332
428
526
616
712
83

Pattern 5/16

SubpatternSeqletsEmbeddingsCWMPFM
Agg.196
047
134
231
328
425
513
611
77

Pattern 6/16

SubpatternSeqletsEmbeddingsCWMPFM
Agg.186
060
150
227
324
412
59
62
72

Pattern 7/16

SubpatternSeqletsEmbeddingsCWMPFM
Agg.105
040
129
223
310
43

Pattern 8/16

SubpatternSeqletsEmbeddingsCWMPFM
Agg.104
038
125
212
310
47
56
66

Pattern 9/16

SubpatternSeqletsEmbeddingsCWMPFM
Agg.73
023
120
28
37
46
56
63

Pattern 10/16

SubpatternSeqletsEmbeddingsCWMPFM
Agg.61
016
115
213
39
45
53

Pattern 11/16

SubpatternSeqletsEmbeddingsCWMPFM
Agg.56
023
119
214

Pattern 12/16

SubpatternSeqletsEmbeddingsCWMPFM
Agg.52
019
112
212
39

Pattern 13/16

SubpatternSeqletsEmbeddingsCWMPFM
Agg.46
017
112
211
36

Pattern 14/16

SubpatternSeqletsEmbeddingsCWMPFM
Agg.43
013
111
211
38

Pattern 15/16

SubpatternSeqletsEmbeddingsCWMPFM
Agg.44
013
113
28
35
45

Pattern 16/16

SubpatternSeqletsEmbeddingsCWMPFM
Agg.34
021
19
24
In [8]:
a.show_footprints_and_peak_dist()

Pattern 1/16 Footprint

Pattern 1/16 Motif Distance Distribution

Pattern 2/16 Footprint

Pattern 2/16 Motif Distance Distribution

Pattern 3/16 Footprint

Pattern 3/16 Motif Distance Distribution

Pattern 4/16 Footprint

Pattern 4/16 Motif Distance Distribution

Pattern 5/16 Footprint

Pattern 5/16 Motif Distance Distribution

Pattern 6/16 Footprint

Pattern 6/16 Motif Distance Distribution

Pattern 7/16 Footprint

Pattern 7/16 Motif Distance Distribution

Pattern 8/16 Footprint

Pattern 8/16 Motif Distance Distribution

Pattern 9/16 Footprint

Pattern 9/16 Motif Distance Distribution

Pattern 10/16 Footprint

Pattern 10/16 Motif Distance Distribution

Pattern 11/16 Footprint

Pattern 11/16 Motif Distance Distribution

Pattern 12/16 Footprint

Pattern 12/16 Motif Distance Distribution

Pattern 13/16 Footprint

Pattern 13/16 Motif Distance Distribution

Pattern 14/16 Footprint

Pattern 14/16 Motif Distance Distribution

Pattern 15/16 Footprint

Pattern 15/16 Motif Distance Distribution

Pattern 16/16 Footprint

Pattern 16/16 Motif Distance Distribution

In [9]:
a.show_b1h_alignments()

B1H alignments of all patterns

/users/manyu/.local/lib/python3.6/site-packages/ipykernel_launcher.py:207: H5pyDeprecationWarning: dataset.value has been deprecated. Use dataset[()] instead.
PatternN-SeqletsAlignment
12775
2609
3426
4312
5196
6186
7105
8104
973
1061
1156
1252
1346
1443
1544
1634
In [10]:
 
In [10]: